Android
Bh. državni zastupnici na putovanja u inozemstvo potrošili više od 840 hiljada KM

U dostavljenom odgovoru stoji da je u periodu od 1. januara 2015. do 15. marta 2018. godine na putovanja u inozemstvo potrošeno 841.714,11, a na putovanja u zemlji 281.310,23 KM. Međutim, Bećirović tvrdi da su sredstva navedena za putovanja u zemlji ustvari sredstva izdvojena za dolazak na posao zastupnika iz drugih gradova u PS BiH.
“Zastupnicima koji nemaju stan ili ne uzimaju novac za stan u Sarajevu i dolaze na sjednice stavili su troškove putovanja na posao kao službena putovanja, a ja nisam tražio te podatke”, kazao nam je Bećirović.
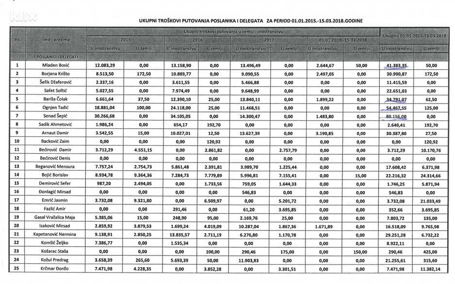
Prema tabelarnom prikazu, najviše novca na putovanja u inozemstvo potrošio je Senad Šepić i to 80.156 KM, slijede ga Ognjen Tadić s 54.467 KM, Saša Magazinović s 54.173 KM, Milica Marković sa 45.321 KM i Mladen Bosić sa 41.383 KM.
“Imate masu opozicionara koji su najglasniji kada je riječ o zaštiti budžeta, a vidimo da su potrošili najviše novca na službena putovanja u inozemstvo. Jednim dijelom se to može pravdati članstvom u kolegijima, iako ima ljudi koji nisu članovi kolegija i kojima su puna usta priče protiv BiH, kao što je Milica Marković, a koji prednjače u troškovima na službena putovanja. Ključno je da ne postoji izvještaj s putovanja, očigledno je da je većina putovanja dogovorena na privatnoj osnovi, ali ni s jednog putovanja ne postoji izvještaj, iako je to zakonska obaveza”, ističe Bećirović.

U prvih deset ljubitelja stranih putovanja nalaze se i Nikola Lovrinović (38.191 KM), Bariša Čolak (34.791 KM), Borjana Krišto (30.990 KM), Šemsudin Mehmedović (30.790 KM) i Damir Arnaut (30.387 KM).

Veliki iznos budžetskog novca potrošen je i na putovanja Nermine Kapetanović (29.251 KM), Aleksandre Pandurević (26.663 KM), Halida Genjca (26.575 KM), Safeta Softića (22.651 KM), Borislava Bojića (22.216 KM), Predraga Kožula (21.255 KM), Diane Zelenike (20.902 KM), Asima Sarajlića (20.113 KM) i Hazima Rančića (18.247 KM).

Podsjećamo, zastupnici i delegati SNSD-a u Parlamentarnoj skupštini BiH prošle godine su napustili članstvo u parlamentarnim komisijama koje sjednice održavaju na teritoriji BiH, ali ne i članstvo u delegacijama zahvaljujući kojima parlamentarci o trošku građana u toku mandata obiđu pola svijeta.
Inače, Parlamentarna skupština BiH ima devet delegacija i šest grupa koje su zadužene za međunarodne aktivnosti, a čiji članovi su zastupnici i delegati iz oba doma PSBiH.
Što se tiče SNSD-ovog kadra, Milica Marković članica je Delegacija Parlamentarne skupštine BiH u Parlamentarnoj skupštini Vijeća Evrope (PSVE) i bh. Delegacije u Parlamentarnoj skupštini zemalja frankofonskog govornog područja (PSF), Nebojša Radmanović član je Delegacije PSBiH u Parlamentarnoj skupštini Centralnoevropske inicijative (CEI) i Delegacije u Parlamentarnoj skupštini Procesa saradnje u Jugoistočnoj Evropi (PSSEECP), Dušanka Majkić članica je bh. delegacije u Parlamentarnoj skupštini Sjevernoatlantskog saveza (NATO), Sredoje Nović član je Delegacije Parlamentarne skupštine BiH u Interparlamentarnoj uniji (IPU), a Dragutin Rodić iz DNS-a član je Delegacije PSBiH u Parlamentarnoj skupštini Procesa saradnje u Jugoistočnoj Evropi (PSSEECP).
Jedini zastupnici koji u protekle tri godine ni fening nisu potrošili na bilo kakvu vrstu putovanja su Denis Bećirović (SDP) i Fahrudin Radončić (SBB).
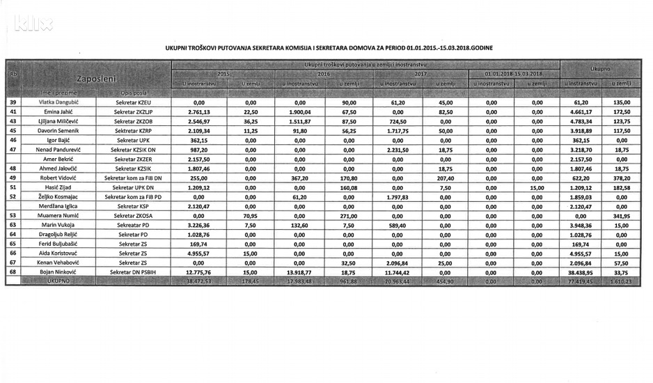
Važno je istaći da su, prema podacima koji su dostavljeni Damiru Bećiroviću, znatna budžetska sredstva potrošena i na putovanja sekretara komisija i sekretara domova i to ukupno 77.419 KM. Apsolutni rekorder je Bojan Ninković, sekretar Doma naroda PS BiH, koji je potrošio više novca od pojedinih zastupnika i delegata – 38.438 KM.

Niže, ali također značajne iznose potrošili su sekretarka ZS Aida Koristović (4.955 KM), sekretarka ZKZOB Ljiljana Milićević (4.783 KM), sekretarka ZKZLJP Emina Jahić (4.661 KM), sekretar PD Marin Vukoja (3.948 KM), sekretar KZRP Davorin Semenik (3.918 KM) i sekretar KZSIK DN Nenad Pandurević (3.218 KM).
Klix.ba
Preuzmite mobilnu aplikaciju 072info za Android: KLIKNI OVDJE
Preuzmite mobilnu aplikaciju 072info za iOS: KLIKNI OVDJE
POVEZANE OBJAVE














