Kako se trošio novac Visočana u Gradskoj upravi 2019: Pojelo se 400 čokolada “Milki” i popilo se 145kg kafe “Zlatna džezva” (FOTO)

Kako se trošio novac Visočana u Gradskoj upravi 2019: Pojelo se 400 čokolada “Milki” i popilo se 145kg kafe “Zlatna džezva” (FOTO)

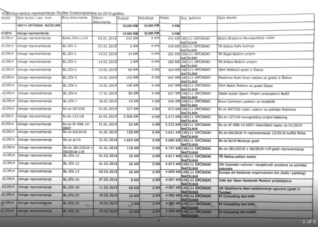
Po Analitičkoj kartici za fiskalnu godinu 2019., a koju je knjižila Služba za budžet i finansije i koja je javnosti postala dostupna nakon press konferencije koju je održao gradonačelnik Mirza Ganić 24.12.2021.godine možemo vidjeti gdje i kako se trošio novac poreznih obveznika Visokog u svrhu “reprezentacije”. Ukupno je potrošeno 16.000KM, a detaljnijim uvidom u analitičku karticu za 2019.godinu mogu se uočiti neki interesantni detalji u potrošnji novca iz javnog proračuna:

– Suho meso 664KM, pitice iz pekare “Efendira” 5KM, Novogodišnji prijem 2.500KM, ugostiteljske i restoranske usluge, usluge Općinskog bifea 6.593KM, sokovi i voda 1.150KM, poklon ministru MUP-a 78KM, parfem u DM-u 97KM, Milka čokolade 718KM, kafa “Zlatna džezva” 1.160KM ….

Komentarišite članak:
Dobivaj najvažnije vijesti porukom na Viberu: KLIKNI OVDJE
Preuzmite mobilnu aplikaciju 072info za Android: KLIKNI OVDJE
Preuzmite mobilnu aplikaciju 072info za iOS: KLIKNI OVDJE
FISFISFISFIS

NAJNOVIJE

FIS