Android
Loše vijesti za pušače: Poskupljuju cigarete u BiH

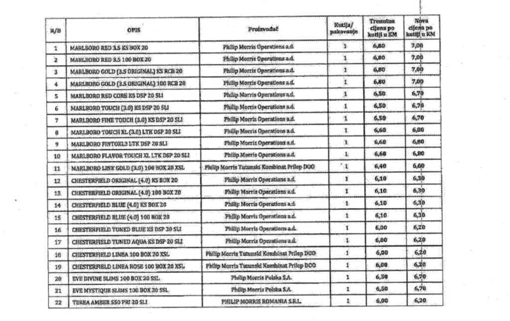
Cigarete u Bosni i Hercegovini uskoro će poskupjeti, objavila je Uprava za indirektno oporezivanje BiH. Nove cijene očekuju se u narednom periodu, u skladu s planiranim promjenama na tržištu duhanskih proizvoda.
Poskupljenje je dio kontinuiranog rasta cijena ovih proizvoda i nastavlja dosadašnji trend. Pušače u FBiH tako u skorije vrijeme očekuju veći troškovi prilikom kupovine cigareta.
Nove cijene TDR će imati od 13.02.2026., Philip Morris od 19.02.2026. , a NELT od 09.03.2026. godine.
Pogledajte koliko će biti poskupljenje:





Pogledajte kolika će biti poskupljenj
Komentarišite članak:
Dobivaj najvažnije vijesti porukom na Viberu: KLIKNI OVDJE
Preuzmite mobilnu aplikaciju 072info za Android: KLIKNI OVDJE
Preuzmite mobilnu aplikaciju 072info za iOS: KLIKNI OVDJE
Preuzmite mobilnu aplikaciju 072info za Android: KLIKNI OVDJE
Preuzmite mobilnu aplikaciju 072info za iOS: KLIKNI OVDJE
POVEZANE OBJAVE























