Android
Sve iz federalnog budžeta: Za poklone 6.000 KM, restorane 10.000, a za gorivo 20.000 maraka

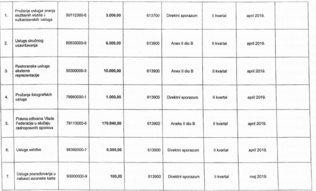
Generalni sekretarijat Vlade Federacije BiH u aprilu ove godine usvojio je plan javnih nabavki za budžetsku 2019. godinu.
Kako je navedeno u dokumentu koji je potpisala sekretar Vlade Edita Kalajdžić, plan obuhvata nabavku roba i usluga te sadrži podatke o predmetu nabavke, jedinstvenom rječniku javne nabavke, procijenjenoj vrijednosti nabavke, vrsti postupka javne nabavke, okvirnim terminima za pokretanje postupka nabavke i zaključenja ugovora i izvoru finansiranja.
U planu javnih nabavki koji je još aktuelan nalaze se vrlo zanimljive stavke. Tako Generalni sekretarijat Vlade u septembru planira za 20.000 KM kupiti gorivo za službena vozila, dok će mjesec kasnije za nabavku guma dati 6.000 maraka, dok je za juni planirano 6.000 za registraciju vozila.
U aprilu su za nabavku službenih protokolarnih poklona potrošili 6.000 maraka, a u istom mjesecu za restoranske usluge eksterne reprezentacije bilo je planirano 10.000 KM.
U galeriji pogledajte kompletan plan nabavki Sekretarijata Vlade FBiH za ovu godinu.
AVAZ
Preuzmite mobilnu aplikaciju 072info za Android: KLIKNI OVDJE
Preuzmite mobilnu aplikaciju 072info za iOS: KLIKNI OVDJE
POVEZANE OBJAVE




























