Android
Slovenski medij objavio “non paper”: “Crno na bijelo” plan za komadanje BiH

Slovenski portal Necenzurisano objavio je “non paper” odnosno neslužbeni diplomatski dokument koji govori o idejama za komadanje Bosne i Hercegovine, pristupanju Republike Srpske Srbiji i ujedinjenju Kosova s Albanijom.
Od ponedjeljka se u Sloveniji, Hrvatskoj i Bosni i Hercegovini spekulira o tome je li premijer Janez Janša zaista poslao neslužbeni diplomatski dokument (non-paper) u Brisel, koji govori o novom crtanju granica na području Bivša Jugoslavija.
Niko službeno nije potvrdio da je predsjednik Evropskog vijeća Charles Michel od Slovenije dobio dokument takvog sadržaja. Ali neslužbeni diplomatski dokument koji predviđa raspad Bosne i Hercegovine, pripajanje Republike Srpske Srbiji i ujedinjenje Kosova s Albanijom zapravo postoji, piše Necenzurisano.
Prema njihovim informacijama, dokument pod nazivom “Zapadni Balkan – put naprijed” primljen je u kabinetu Charlesa Michela u februaru.
Ko je to napisao ne može se zvanično znati. Prema izvorima slovenskih novinara, zasigurno nije skrojen u slovenskom Ministarstvu vanjskih poslova.
Dio njegovog sadržaja mogao je biti napisan, prema nekim informacijama, u Budimpešti. Ipak, u briselskim diplomatskim krugovima o njemu se govori kao o “slovenačkom” dokumentu, jer je navodno Janšin kabinet sudjelovao u slanju na razne adrese.
Budući da se radi o neslužbenom diplomatskom dokumentu namijenjenom komuniciranju različitih stavova i inicijativa bez službenog karaktera, nema ni glavu ni potpis. Došao je do Charlesa Michela mimo službene diplomatske pošte, pa se njegovo postojanje može u bilo kojem trenutku javno poreći.

Stoga to nije službeni stav Slovenije, već samo jedan od neformalnih prijedloga za moguće rješenje pitanja koja se tiču zemalja bivše Jugoslavije. Ali njegov sadržaj je u potpunoj suprotnosti sa svim važećim dokumentima na kojima se temelji spoljna politika Slovenije. Dokument je prilagođen srpskim i hrvatskim nacionalističkim krugovima, koji već tri decenije rade na raskomadavanju Bosne i Hercegovine.
Crno na bijelo: Kako raskomadati BiH
Dokument tako u uvodu spominje “neriješena nacionalna pitanja Srba, Albanaca i Hrvata” koja su se pojavila nakon raspada Jugoslavije. Autori dokumenta ističu da čak i nakon uspostavljanja mira nakon završetka ratova, obećanih evropskih perspektiva i napretka Sjeverne Makedonije i Crne Gore u ovom pravcu u regionu, “ključna pitanja ostaju neriješena”. Ovo su ta pitanja:
- da je Dejtonski sporazum 1995. godine, kojim je okončan rat u Bosni i Hercegovini, koji je odnio više od 100.000 života, praktično prepoznao ono što je postignuto u ratu, ali ne u principu.
- da je trenutno teško zamisliti evropske perspektive Srbije i Kosova.
- da se članstvo BiH u EU može u potpunosti isključiti.
- da je u međuvremenu prazan prostor iskoristila Turska, koja je povećala svoj utjecaj u BiH i Sjevernoj Makedoniji.
- da osim Turske, nekolicine lokalnih političara i njihovih pristaša koji lično imaju koristi od haosa i nefunkcionalnih institucija, niko nije zadovoljan situacijom u BiH.
Ključni dio “non papera” su predložena “rješenja” za prethodo opisane probleme.
Autori dokumenta naglasili su da Srbija, Hrvatska i Albanija trenutno imaju stabilne vlade i da su njihovi izabrani političari sposobni donositi strateške odluke.
Šta predlažu?
- Ujedinjenje Kosova i Albanije. “Na Kosovu se 95 posto stanovništva želi ujediniti s izvornom albanskom nacijom. Slična je situacija i u Albaniji. Granica između Albanije (članice NATO-a) i Kosova praktički ne postoji. Srpski dio Kosova dobio bi poseban status – po uzoru na Južni Tirol”, navodi se u dokumentu. To je autonomna pokrajina u sjevernoj Italiji, gdje većinu stanovništva govori njemački.
- Ujedinjenje većine teritorije Republike Srpske sa Srbijom.
“Srpsko nacionalno pitanje može se u velikoj mjeri riješiti pripajanjem dijela Republike Srpske Srbiji. U ovom slučaju, Srbija je spremna pristati na ujedinjenje Kosova i Albanije”, navodi se u dokumentu.
- “Hrvatsko nacionalno pitanje može se riješiti spajanjem većine hrvatskih kantona u BiH s Hrvatskom ili davanjem posebnog statusa hrvatskom dijelu BiH (po uzoru na Južni Tirol).”
- “To bi Bošnjacima dalo neovisno funkcionirajuću državu i preuzelo punu odgovornost za nju. Na referendumu bi ljudi odlučivali da li će se pridružiti EU ili budućnosti izvan EU (slijedeći primjer Turske. Za sada velika većina Bošnjaka podržava u perspektivi EU i naglom porastu turskog utjecaja i radikalnog islama, situacija bi se mogla drastično pogoršati u sljedećoj deceniji. “

Je li Pahor znao za dokument i “osjetio” teren?
Prema autorima “non papera”, ova “rješenja” ubrzala bi pregovore o članstvu zemalja Zapadnog Balkana u EU i NATO-u.
Ali to su prijedlozi kojima se oštro protive u SAD-u, Njemačkoj, Francuskoj i drugim evropskim zemljama. Naime, međunarodna zajednica naglašava važnost teritorijalnog integriteta BiH i protivi se novom iscrtavanju granica na prostoru bivše Jugoslavije. To bi otvorilo Pandorinu kutiju i vjerovatno dovelo do novih ratova.
Zeleno svjetlo za raspad Bosne i Hercegovine i ujedinjenje Kosova s Albanijom dalo bi novi zamah srpskim nacionalistima u Crnoj Gori i albanskim nacionalistima u sjevernoj Makedoniji, dvije članice NATO-a.
Činjenica da se u vezi s ovim dokumentom spominju Slovenija i Janša vjerovatno je najveći udarac za predstojeće slovensko predsjedavanje EU. Kada su mediji iz BiH početkom sedmice izvještavali o ovom dokumentu, Janša je u svom odgovoru izjavio da “Slovenija ozbiljno traži rješenja za razvoj regije i evropsku perspektivu zemalja zapadnog Balkana”.
Ali nije izričito porekao postojanje dokumenta. Naglasio je samo da bi “bilo teško predati nešto Charlesu Michelu u februaru ili martu, budući da ga je zadnji put upoznao prošle godine”. Ali postoji mnogo mogućih načina na koje je dokument stigao do Brisela. Na primjer, sredinom februara u Poljskoj, Michel je prisustvovao sastanku povodom 30. godišnjice Višegradske grupe, kojem je prisustvovao i mađarski premijer Viktor Orban , Janšin najbliži politički saveznik u EU.
Činjenica da dokument o podjeli BiH baca novo svjetlo i na posjetu predsjednika Republike Boruta Pahora ovoj zemlji početkom marta. Kako je početkom sedmice otkrio član Predsjedništva BiH Željko Komšić , Pahor ga je pitao o mogućem “mirnom razlazu” u BiH. Pahorov kabinet je kasnije tvrdio da se predsjednik Slovenije protivio ideji raspada BiH. Kaže se da je pitanje mirnog razlaza pokrenuto isključivo zbog zabrinutosti zbog ovih ideja.
Ali Pahor je došao u Sarajevo nakon što je Michel primio dokument. Je li zaista moguće da Pahor nije znao za njega? Je li postavio pitanje mirnog raspada BiH jer je pripremao tlo za nekoga drugog?
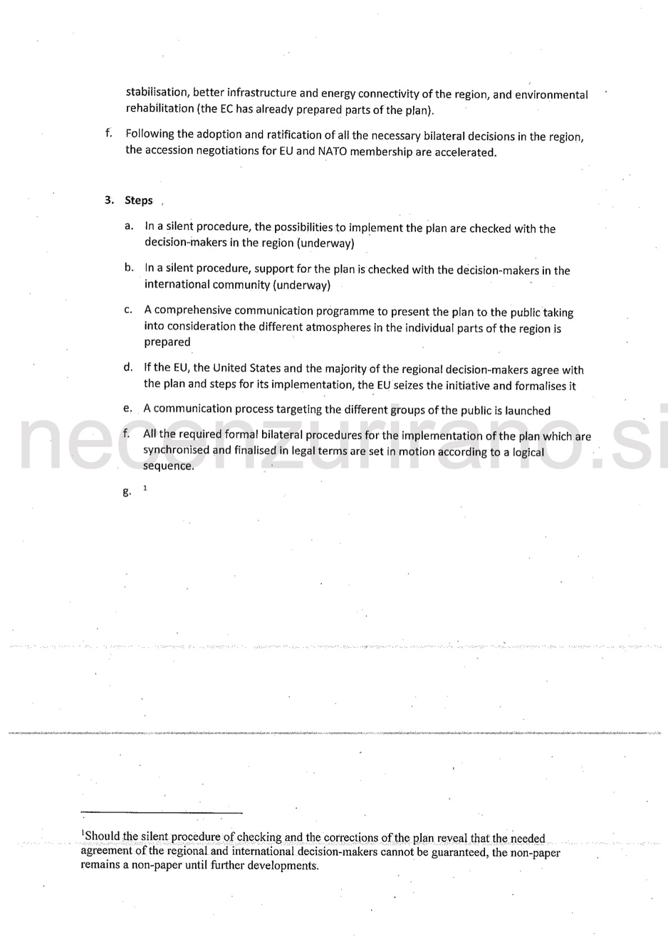
U dokumentu se govori i o budućim “koracima”. Konkretno, na “tihu” provjeru kod donositelja odluka u regiji i međunarodne zajednice da li se plan može provesti. Ako se dokaže da se ne može postići sporazum, dokument će zadržati status “non paper”.
U martu je američki državni sekretar Antony Blinken također nagovijestio da se prijedlozi za crtanje novih granica na Balkanu intenzivno ispituju kroz razne kanale . U pismu Predsjedništvu BiH početkom aprila, odbacio je mogućnost razgovora o radikalnim promjenama Dejtonskog sporazuma.
Ministar vanjskih poslova Slovenije Anže Logar izjavio je jučer u Narodnoj skupštini da se strategija Slovenije prema Zapadnom Balkanu nije promijenila. Ali sve je više znakova novog zaokreta u slovenskoj vanjskoj politici.
Prema informacijama portala Necenzurisano, posljednjih mjeseci o BiH su postojala tri “non papera” u kojima je Slovenija na ovaj ili onaj način sudjelovala.
Logar je jučer potvrdio postojanje jednog od ovih dokumenata. Riječ je o diplomatskoj inicijativi u vezi s BiH, koju je sredinom marta pokrenula Hrvatska, a pridružila joj se i Slovenija. Ovim dokumentom nastavljaju dugotrajnu diplomatsku ofanzivu u Zagrebu na promjenu izbornog zakonodavstva u BiH. To bi u velikoj mjeri olakšalo izbor člana Predsjedništva BiH iz reda hrvatskog naroda, po mjeri Zagreba.
Pridruživanjem hrvatskoj diplomatskoj inicijativi Slovenija se dalje distancirala od najvećih zemalja EU.
Uz Mađarsku, podržale su je samo tri većinski pravoslavne zemlje: Grčka, Bugarska i Kipar. Prve dvije imaju svoje interese po pitanju Sjeverne Makedonije, posebno u uslovljavanju njenog daljnjeg ulaska u evropske integracije.
Za promjenu izbornog zakonodavstva u BiH u korist Zagreba zalaže se i Rusija, ključni politički saveznik člana Predsjedništva BiH, iz reda srpskog naroda, Milorada Dodika , koji otvoreno govori o pristupanju Republike Srpske Srbiji.
Nije jasno zašto se Slovenija pridružila inicijativi Hrvatske koja ima jake nacionalne interese u zemlji, manje od tri mjeseca prije predsjedavanja EU. Pogotovo što Slovenija s Hrvatskom ima još nekoliko otvorenih pitanja vođenih arbitražom. Čak ni pitanje kako su najnoviji spoljnopolitički manevri u skladu s interesima Slovenije još nema odgovor.
Preuzmite mobilnu aplikaciju 072info za Android: KLIKNI OVDJE
Preuzmite mobilnu aplikaciju 072info za iOS: KLIKNI OVDJE
POVEZANE OBJAVE
















